科技改变生活 · 科技引领未来
以下内容,均整理自各大考研名师微博、或微信公众号
微博名称及水印即为来源出处
整理仅供考研学子方便学习
欢迎大家关注原作者微博、公众号
如涉及版权问题请留言告知立即删除
文章来源微信公众账号:张宇考研数学(ID:zhangyumaths)

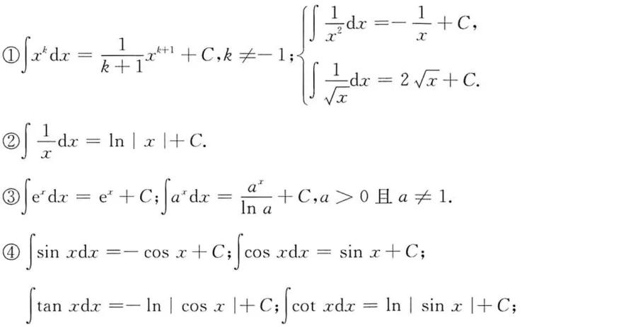
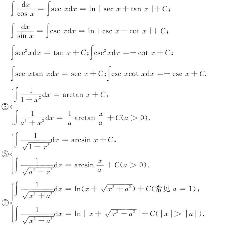
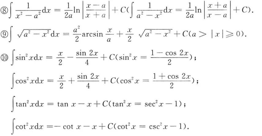
一、基本积分公式



二、凑微分法
基本思想


三、换元法
换元法


三角函数代换

倒代换

四、分部积分法
基本思想

推广公式

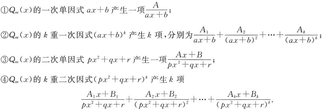
五、有理函数的积分
定义

方法

基本原则

概率论与数理统计
考研数学|背公式--概率论与数理统计03:概型、条件概率公式
考研数学:概率公式大全
考研数学|一起背公式--概率论与数理统计2:概率及其基本性质
【考研数学】数学概率例题:离散型概率分布(09年真题)
【考研数学】数学概率例题:概率密度的性质(10年真题)
考研数学|背公式-概率论与数理统计5:常见随机变量的概率分布
【考研数学】真题精讲:全概率和贝叶斯公式
【考研数学】考研数学概率性质(真题)
「公式」概率论与数理统计公式总结
【考研数学】数学概率例题:指数分布的性质(12年真题)
线性代数
「考研数学」考研数学线性代数公式:矩阵
「考研数学」考研数学线性代数公式:行列式
21考研数学|公式库:线性代数10:向量组的线性相(无)关性
21考研数学|公式库:线性代数04:矩阵的轶
21考研数学|公式库:线性代数16:齐次线性方程组的解的结构
2020考研线性代数公式大全:矩阵
2020考研线性代数公式大全:矩阵
2020考研线性代数公式大全:向量组的线性相关性
考研数学:高数、线性代数、概率统计知识梳理图
2020考研线性代数公式大全:向量组的线性相关性
高数
考研数学|高数必备公式--高数篇
21考研数学|公式库:高数23:数项级数
21考研数学|公式库:高数24:幂级数
21考研数学|公式库:高数25:傅里叶级数
21考研数学|公式库:高数01:函数
21考研数学|公式库:高数14:向量代数
21考研数学|公式库:高数15:空间平面与直线
21考研数学|公式库:高数04:连续
2020考研数学高数练习题及答案
函数的渐近线怎么求_20高数重点题型
陈同
