科技改变生活 · 科技引领未来
环球物理 2021-04-02

毕导,本名毕啸天,清华大学化工系博士生,优质科普内容创作者。
如何测出男生的真实身高?
男生常常会隐瞒身高,173敢报178,175就敢报183,这对女生造成了很大的困扰。那么今天我就教大家如何用数理方法巧妙测出男生的身高。
我们有幸邀请到了一位身高不明的男生参与实验。

一听说要测身高,他果断地踮脚了
一、二分法
一般来说,男生的身高被人说低了就会生气,高了就会得意。我们以此为判断标准,就能利用二分法逐步缩小身高范围,找出真实身高。
普通男生的身高通常在0到3m之间,我们从1.5m开始猜测。
首先请实验人员保持冷静,然后不经意间面带微笑地问他:“你身高一米五吗?”

他骂我,可见一米五偏低了。接着在1.5m和3m之间二分,(1.5+3)/2=2.25,直接问他:“你身高两米二五吗?”

此时表情欠打,可见两米二五偏高了。接着在1.5m和2.25m之间,我们持续逼问

持续无穷次之后,我们就会无限逼近他的真实身高,让他笑不出来

他愣在原地了!看来被我们说中了!他就是175!
这个方法虽然简便好用,但对男生的脸皮厚度有极高要求,遇到脸皮厚的人方法就会失效。
二、亮剑法
此方法灵感来源于《亮剑》。炮手王承柱同志竖起大拇指点了个赞,就确定出敌方位置,一炮干掉坂田的指挥部。

这都不是瞎编的。军事领域中这叫跳眼法:根据两瞳孔的间隔约为自己臂长得十分之一,将测得实地物体的宽度乘以10,就能得出目标点有多远。
回到我们的身高上来,虽然不用开炮,但思路是一致的。
只要伸直手臂、竖起大拇指,当视线中拇指和远处男生一样高时,根据相似三角形原理,就能算出男生身高。

首先夸男生帅,为他点赞,使其放松警惕。

随后保持点赞姿势,不经意间向后退,直到人与拇指高度重合。

此时站着不动,量出俩人之间的距离、我的臂长、大拇指高度,就能计算出男生身高。

算出男生高度145.8cm,感觉偏低了……而且亮剑法的难点在于,需要一个第三者帮忙测量俩人的距离,此时很容易被对方发现从而拒绝配合。不推荐这种方法。
三、自由落体法
我们在小学二年级的时候就学过,物体自由落体的时间只和下落高度有关。

那么,只要有一个物体从男生头顶往下自由落体,测出下落时间,就能求出高度。
首先邀请男生过来站着,不经意间在他头顶放一块砖。

然后用尽全力踹他一脚,砖会做自由落体运动。

与此同时,顺手拿出秒表,记录球的落地时间t=0.65 s

套用自由落体计算公式,即可求得男生身高
h=1/2*9.8*0.65^2=2.07 米
可以看出,这个方法误差奇大,把普通人直接算成姚明。这可能是因为我脚力不够大,以及计时不够准确。而且像我一样用砖头做实验可能会有风险。

四、单摆法
我们在小学四年级就学过,单摆的摆动周期只与摆长有关。只要将男生做成个单摆,摆起来之后测量他的摆动周期,就能求得身高。
实验的关键在于,如何把一个大活人做成单摆呢?
只要不经意间绑架了他然后倒挂起来就可以了。

沿着一个方向轻轻摆动他,让他做单摆运动,记录60次摆动所用的时间,取平均算出摆动周期T=1.8 s。

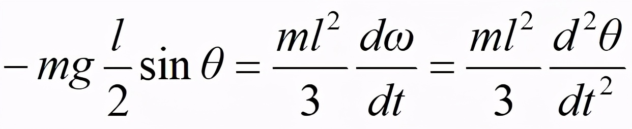
这个模型不是简单的单摆,我们将男生简化一根摆动的有质量的杆,在物理学上称为复摆。
由角动量定理,力矩等于角动量的时间导数

代入模型可得

小角摆动时有

,故简谐运动方程为

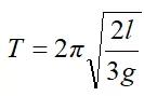
易得摆动周期为

AMAZING!我们已经测出了男生的摆动周期为1.8 s,代入公式就能求出男生的身高!

经过严密的实验和计算,男生的身高就是一米二。
此方法理论复杂,趣味性强,还有较好的锻炼效果,是本文最重点推荐的一种方法。
毕啸天科研成果一:
自动洗袜机
作为一名繁忙的清华博士,不爱洗袜子也情有可原——小编我也不爱洗,虽然我不是清华博士。为了解决这个问题,我的解决方案是攒一堆一起用洗衣机洗;而毕啸天博士呢,他的室友不让他用洗衣机洗,理由是“会污染洗衣机”。
于是博士走上了自动洗袜机的研发之路。经过“磁力搅拌器版本”▼

和“发条玩具版本”▼

的失败之后,博士想到,应该有一个更加稳定,更加持久,更加耐磨的这么一个机械装置去洗袜子。
“我们再回到老祖宗的灵感里面去找。假如说我们能有这么一只脚,它穿上袜子,然后在一个搓衣板上这么前后摩擦,不就把这个问题解决了吗?脚和搓衣板都不难找,怎么解决这个前后往复的问题?在机械里面有一个东西叫作曲柄连杆装置,这个滑块可以把一个圆周运动转化为一个直线往复运动。”
于是一个“机械式半自动洗袜机”诞生了▼

人力搓脚了解一下……

毕啸天科研成果二:
如何抢到最大的红包
在抢红包的问题上,小编我又和毕啸天博士有同感了:“不管别人发多大的红包,抢到我手里的每次都只有几分钱。而往往是抢红包比较晚的那些人,他们可以抢到一个比较大的红包。”
博士和小编我的区别是,没有只停留在抱怨上,而是抱着“找到这个规律,就能抢到我所有的同学都破产为止”的目标,开始研究了~~
经过研究,博士发现了微信红包内部的算法规则是什么,每个人当前能抢到的金额服从一个0.01到当前剩余均值两倍的左开右闭区间的均匀分布。什么意思呢?大概是说,5个人抢50块钱,那平均每个人能抢到10块钱。这个时候,第一个人抢的时候,他就只能抢到0—10×2也就是20块钱。你想第一个人多不巧,他只抢到了2块钱。那接下来的问题就变成了4个人抢48块钱,这个时候平均每个人能抢到12块钱。12的两倍是24,第二个人最大能抢到就变成24块钱。所以这个区间是一个不断放大的过程。
发现了这个规律之后,博士就编程给自己发红包,有一天他给自己发了五千万个红包,得出来这样一个规律:在五千万个红包下面这个规律就非常地明显了。你可以看到第1个人永远不会超过20,后面的这个规律分布在慢慢平缓下来。通过编程还可以统计一个现象:最佳手气在各个人各个位置的概率是均等的吗?其实也不是。最后博士发现最佳手气的概率在5个人抢的时候是依次递减的。
无聊的博士又给自己发了两亿个红包。最后做出来这样一张图:

这张图概括了从3个人到27个人,不同的人在抢红包的时候,每一个位置抢到手气最佳的概率这个变化究竟是什么样子的。从这张图博士最后得出一个结论:通常抢红包的人比较多的时候,越往后往往抢到手气最佳的概率越大。于是以后博士看到红包都先憋一会儿,想憋到后面把那个大的捞回来。
在这一思想指导下,博士表示再也没有抢到过红包。

毕啸天科研成果三:
掉地下的薯片还能吃吗
因为把一片掉在地下的薯片捡起来吃了,博士被同学说脏。这一批又让博士陷入了沉思,薯片掉地上能不能吃?于是他画了一张Matlab的图,模拟了一片薯片掉在地上的样子。

(薯片的图太高大上,小编看不懂……)
一个弧面掉在一个平面上是什么接触呢?它是一个相切接触。就是说,两个面其实是相交于一条线,一条线在二维上面的面积积分等于多少呢?面积等于零。
问题的答案来了:一个薯片掉在地上,脏了多少呢?脏了一根线。一根线的面积是多少呢?等于零,所以没脏,还能吃!
来源:毕导、教育圆桌,版权归原作者所有,如有侵权联系删除。
免责声明:自媒体综合提供的内容均源自自媒体,版权归原作者所有,转载请联系原作者并获许可。
王熙明
